压阻式应变仪是最常见的压力传感器类型之一。他们使用拉伸时材料电阻的变化来测量压力。这些传感器因其简单性和坚固性而适用于各种应用。它们可用于高压和低压应用中的绝压、表压、相对和差压测量。在本文中,将讨论可用的各种类型的压阻式压力传感器、它们的工作原理以及它们的相对优点。
一、压阻式压力传感器的工作原理
压阻式压力传感器的基本原理是使用由导电材料制成的应变计,当它被拉伸时会改变其电阻。应变仪可以连接到隔膜上,当传感器元件变形时,隔膜可以识别电阻的变化。电阻的变化被转换为输出信号有三种不同的影响会导致导体电阻的变化。这些都是:
1.导体的电阻与其长度成正比,因此拉伸会增加电阻
2.随着导体被拉伸,其横截面积减小,这也增加了电阻
3.某些材料的固有电阻率在拉伸时会增加
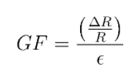
最后一个,即压阻效应,在不同材料之间变化很大。灵敏度由应变系数指定,其定义为相对电阻变化除以应变:

其中应变定义为长度的相对变化:

二、压阻式压力传感器的优点和缺点
压阻式应变计压力传感器具有坚固耐用的优点。随着时间的推移,它们的性能和校准也很稳定。这些传感器的一个缺点是它们比一些其他类型的压力传感器消耗更多的功率。这可能意味着它们不适合电池供电或便携式系统。
金属薄膜传感元件具有结构简单、经久耐用的优点。与限制在100C以下的硅应变计相比,它们还具有更高的最高工作温度(最高约200C)。硅应变计提供更大的输出信号,使其非常适合低至2 kPa左右的低压应用。MEMS压力传感器可以做得比金属线传感器小得多,并且可以与电子设备集成以进行信号处理,从而控制非线性和温度依赖性。

