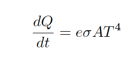
事实上,任何高于绝对零温度的质量都会根据该温度发出电磁辐射(光子或光)。这一基本事实使得通过分析物体发出的光来测量温度成为可能。辐射能的斯特藩-玻尔兹曼定律量化了这一事实,宣布热物体散发的热损失率与绝对温度的四次方成正比:

DQ/dt=辐射热损失率(瓦特)
E=辐射系数(无单位)
Σ=斯特藩-玻尔兹曼常数(5.67×10-8 W/m 2K 4)
A=表面积(平方米)
T=绝对温度(开尔文)
非接触式温度测量(或高温测量,常称为高温测量)的主要优点是相当明显的:无需传感器与过程直接接触,可进行多种温度测量,或使用任何其他技术是不切实际或不可能的。
非接触式测温的主要缺点之一是只能显示物体的表面温度。例如,检测管道发出的热辐射只能告诉您管道的表面温度,而不是管道中流体的真实温度。另一个例子是当医生使用非接触式温度测量来评估体温异常时:他们检测到的只是皮肤温度。虽然可以通过这种方式检测物体表面下方的热点可能是真的,但这只是因为物体表面温度因下方的热点而不同。如果物体内部高于正常温度的区域未能将足够的热能传递到表面以显示更热的表面温度,则该区域将无法通过非接触式温度测量看到。
一些读者可能会惊讶地发现,非接触式高温计几乎与热电偶技术一样古老。第一个非接触式高温计建于1892年。
聚光高温计
非接触式高温计的悠久历史旨在将来自被加热物体表面的入射光集中在一个小型温度传感元件上。传感器温度的升高揭示了落在其上的红外光能量的强度。如前所述,这是目标物体表面温度的函数(绝对温度的四次方):

斯特藩-玻尔兹曼定律的四次方特性意味着热物体的绝对温度增加一倍会导致落在传感器上的辐射能量增加16倍,因此传感器的温升比环境温度高16倍。三倍的目标温度(绝对值)产生八十倍的辐射能量,因此传感器的温升增加了81倍。这种极端的非线性将非接触式高温计的实际应用限制在需要良好精度的相对较窄的目标温度范围内。
热电偶是非接触式高温计中使用的第一个传感器,它们仍在使用相同技术的现代版本。由于传感器不会像目标物体那样变热,因此传感器区域中任何单个热电偶结点的输出都将非常小。出于这个原因,仪器制造商通常使用称为热电堆的串联热电偶阵列来产生更强的电信号。
热电堆的基本概念是将多个热电偶结点串联起来,使它们的电压相加:

检查每个结的极性标记(在这个例子中,假设E型热电偶线:Inconel和Constantan),我们看到所有热结的电压互相帮助,所有冷结的电压也是这种方式。然而,与所有热电偶电路一样,每个冷结的电压与每个热结的电压相反。此图中显示的示例热电堆具有四个热接点和四个冷接点。假设所有热端处于相同温度且所有冷端具有相同温度,电势差将是单个E型热电偶热/冷端对的四倍。
当用作非接触式高温计检测器时,热电堆的方向使所有集中的光都落在热结上(光聚焦到一个小的焦点),而冷结背对热结。关注环境温度区域。因此,热电堆就像一个倍增的热电偶,在相同的温度条件下,产生的电压高于单个热电偶结点产生的电压。

